Vector Are

Are you looking for free downloadable Vector Are for your non-commercial projects? You have come to the right place! In this page, you can download any of 38+ Vector Are. Additionally, you can browse for other related vectors from the tags on topics orthogonal, parallel, product, raster

Most Downloads Size Popular

Views: 1686 Images: 38 Downloads: 0 Likes: 0

Like 1280x720
1280x720 Orthogonal Vectors

Orthogonal Vectors

0 0

Like 626x500
626x500 Art Vectors, Photos And Free Download

Art Vectors, Photos And Free Download

0 0

Like 626x626
626x626 Baby Vectors, Photos And Free Download

Baby Vectors, Photos And Free Download

0 0

Like 254x317
254x317 Basic Vector Operations

Basic Vector Operations

0 0

Like 1000x787
1000x787 Best Hd Background Design Vector Art Photos Free Vector Art

Best Hd Background Design Vector Art Photos Free Vector Art

0 0

Like 960x720
960x720 Chapter Vectors And The Geometry Of Space

Chapter Vectors And The Geometry Of Space

0 0

Like 708x533
708x533 Comparing Two Vectors

Comparing Two Vectors

0 0

Like 626x469
626x469 Free Vectors, In Format

Free Vectors, In Format

0 0

Like 2048x876
2048x876 Gene Therapy

Gene Therapy

0 0

Like 996x1080
996x1080 Hd Ocean Wave Vector Images Free Vector Art, Images, Graphics

Hd Ocean Wave Vector Images Free Vector Art, Images, Graphics

0 0

Like 1200x1296
1200x1296 Hd Pink Christian Crosses Vector Library Free Vector Art, Images

Hd Pink Christian Crosses Vector Library Free Vector Art, Images

0 0

Like 1280x720
1280x720 How To Show Points Are Collinear

How To Show Points Are Collinear

0 0

Like 1280x720
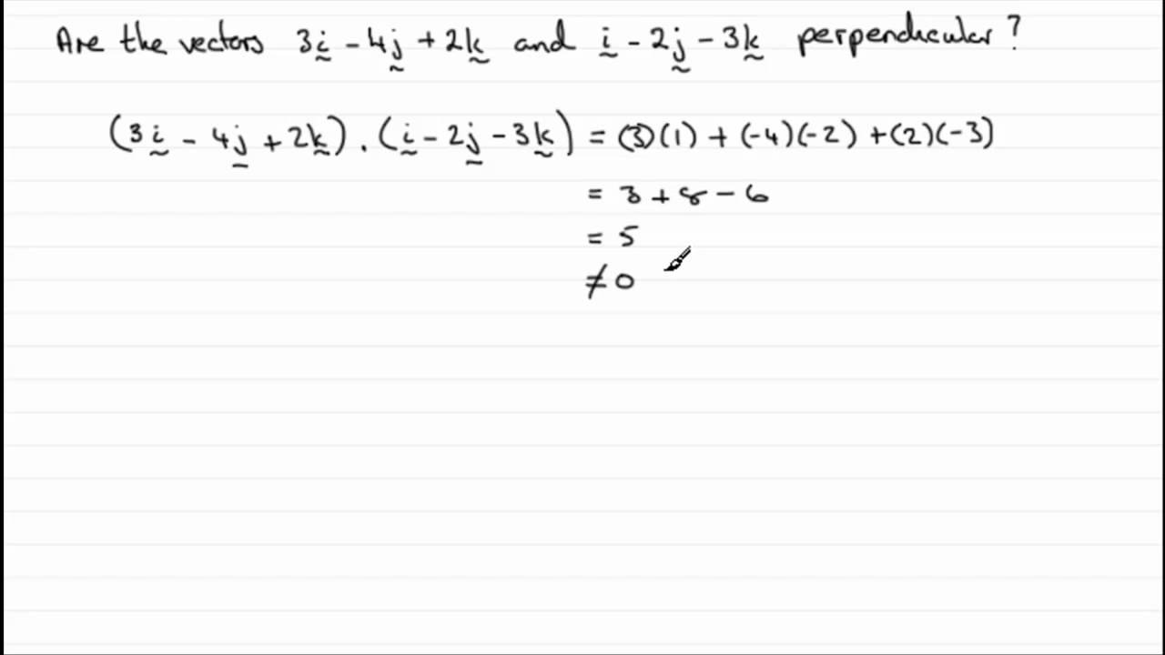
1280x720 How To Find If The Vector Is Perpendicular To The Line Or Not

How To Find If The Vector Is Perpendicular To The Line Or Not

0 0

Like 1618x1600
1618x1600 Hulk Vector

Hulk Vector

0 0

Like 626x626
626x626 Illustrations Vectors, Free In Format

Illustrations Vectors, Free In Format

0 0

Like 1280x720
1280x720 Orthogonal, Parallel Or Neither

Orthogonal, Parallel Or Neither

0 0

Like 437x217
437x217 Parallel Vectors

Parallel Vectors

0 0

Like 437x826
437x826 Polymerase Incomplete Primer Extension

Polymerase Incomplete Primer Extension

0 0

Like 800x300
800x300 Raster Images Vs Vector Graphics The Printing Connection

Raster Images Vs Vector Graphics The Printing Connection

0 0

Like 1280x720
1280x720 Scalar Product

Scalar Product

0 0

Like 1280x720
1280x720 Scalar Triple Product To Verify The Vectors Are Coplanar

Scalar Triple Product To Verify The Vectors Are Coplanar

0 0

Like 1440x658
1440x658 Shop Now Vector

Shop Now Vector

0 0

Like 600x600
600x600 The Difference Between Vector And Raster Art

The Difference Between Vector And Raster Art

0 0

Like 626x626
626x626 Thinking Vectors, Photos And Free Download

Thinking Vectors, Photos And Free Download

0 0

Like 626x626
626x626 Tree Vectors, Photos And Free Download

Tree Vectors, Photos And Free Download

0 0

Like 605x631
605x631 Vector Art T Shirt Graphic Design Service

Vector Art T Shirt Graphic Design Service

0 0

Like 2034x1890
2034x1890 Vector Art Services

Vector Art Services

0 0

Like 270x220
270x220 Vector Art Work In Florida Usa Up Digitizing

Vector Art Work In Florida Usa Up Digitizing

0 0

Like 710x534
710x534 Vector Components

Vector Components

0 0

Like 350x250
350x250 Vector Magic Convert Png Images To Vectors

Vector Magic Convert Png Images To Vectors

0 0

Like 430x436
430x436 Vector Art Archives

Vector Art Archives

0 0

Like 2800x1576
2800x1576 Vector Graphics Explained

Vector Graphics Explained

0 0

Like 454x255
454x255 Vectors In Two And Three Dimensional Cartesian Coordinates

Vectors In Two And Three Dimensional Cartesian Coordinates

0 0

Like 355x355
355x355 Vectors

Vectors

0 0

Like 250x393
250x393 Vexel

Vexel

0 0

Like 626x626
626x626 Wave Vectors, Photos And Free Download

Wave Vectors, Photos And Free Download

0 0

Like 1280x720
1280x720 What Are Vector Graphics

What Are Vector Graphics

0 0

Like 1400x980
1400x980 Wine Free Vector Art

Wine Free Vector Art

0 0

Tags: are

shutterstock

All rights to the published graphic, clip art and text materials on Vectorified.com belong to their respective owners (authors), and the Website Administration is not responsible for their use. All the materials are for personal use only. If you believe that any of the materials violate your rights, and you do not want that your material was displayed on this website, please, contact the Administration and we will immediately remove the copyrighted material.