Vector Def

Are you looking for free downloadable Vector Def for your non-commercial projects? You have come to the right place! In this page, you can download any of 36+ Vector Def. Additionally, you can browse for other related vectors from the tags on topics def, document, jam, leppard

Most Downloads Size Popular

Views: 1138 Images: 36 Downloads: 0 Likes: 0

Like 565x219
565x219 An Introduction To Vectors

An Introduction To Vectors

0 0

Like 824x440
824x440 Can Someone Help Me Solve This Python Question I'

Can Someone Help Me Solve This Python Question I'

0 0

Like 640x640
640x640 Def Document Icon, Def, Document, Png And Vector

Def Document Icon, Def, Document, Png And Vector

0 0

Like 500x263
500x263 Def Funny Monster Cartoon Letters Vector Illustration Monsters

Def Funny Monster Cartoon Letters Vector Illustration Monsters

0 0

Like 300x214
300x214 Def Jam Vendetta Logo Vector

Def Jam Vendetta Logo Vector

0 0

Like 200x200
200x200 Def Leppard Brands Of The Download Vector Logos

Def Leppard Brands Of The Download Vector Logos

0 0

Like 1600x1037
1600x1037 Def Leppard Band Vector T Shirts

Def Leppard Band Vector T Shirts

0 0

Like 400x400
400x400 Def Leppard Logo Vector Free Download

Def Leppard Logo Vector Free Download

0 0

Like 400x400
400x400 Def Leppard Vector Logo Free

Def Leppard Vector Logo Free

0 0

Like 745x745
745x745 Def Jam Poetry

Def Jam Poetry

0 0

Like 745x745
745x745 Def Jam Recordings

Def Jam Recordings

0 0

Like 600x411
600x411 Def Leppard Free Vector In Encapsulated Postscript

Def Leppard Free Vector In Encapsulated Postscript

0 0

Like 220x164
220x164 Dot Product

Dot Product

0 0

Like 320x240
320x240 Equation Of A Plane

Equation Of A Plane

0 0

Like 626x347
626x347 Initial D E F Letter Logo With Flower Shape Vector Premium Download

Initial D E F Letter Logo With Flower Shape Vector Premium Download

0 0

Like 638x479
638x479 Machine Learning Using Apache Spark Mllib

Machine Learning Using Apache Spark Mllib

0 0

Like 640x829
640x829 Math Section Notes

Math Section Notes

0 0

Like 300x200
300x200 Physics For Kids Scalars And Vectors

Physics For Kids Scalars And Vectors

0 0

Like 240x240
240x240 Motion Vectors

Motion Vectors

0 0

Like 681x494
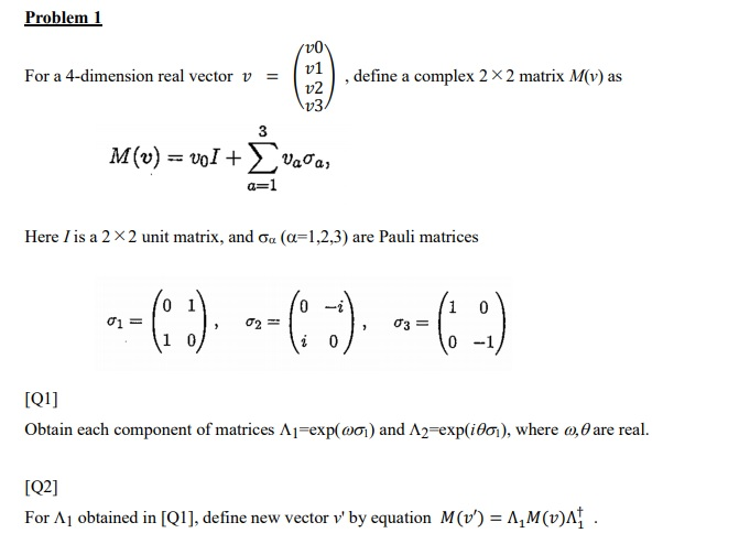
681x494 Problem V0 For A Dimension Real Vector U Def

Problem V0 For A Dimension Real Vector U Def

0 0

Like 1200x943
1200x943 Scalar

Scalar

0 0

Like 1024x410
1024x410 Solved Goal

Solved Goal

0 0

Like 1024x472
1024x472 Solved Question Defining Vectors

Solved Question Defining Vectors

0 0

Like 221x215
221x215 Translation Def Math Null Translation Vector Definition Math

Translation Def Math Null Translation Vector Definition Math

0 0

Like 1920x2040
1920x2040 Translation Vector Math Lamaison

Translation Vector Math Lamaison

0 0

Like 300x400
300x400 Ultima Displays

Ultima Displays

0 0

Like 773x889
773x889 Using Approximate Nearest Neighbor For Faster Retrieval

Using Approximate Nearest Neighbor For Faster Retrieval

0 0

Like 592x766
592x766 Variable Math Term Math Words That Start With V Variable Vector

Variable Math Term Math Words That Start With V Variable Vector

0 0

Like 820x680
820x680 Vector Def Parallelogram Rule

Vector Def Parallelogram Rule

0 0

Like 460x368
460x368 Vector Def Free Vector Download

Vector Def Free Vector Download

0 0

Like 600x540
600x540 Vector Projection

Vector Projection

0 0

Like 450x338
450x338 Vectors

Vectors

0 0

Like 480x360
480x360 Vectors In Python

Vectors In Python

0 0

Like 186x359
186x359 What Is Vector

What Is Vector

0 0

Like 640x829
640x829 Class Vector Def Initself D Selfcoords Def Lenself Return

Class Vector Def Initself D Selfcoords Def Lenself Return

0 0

Like 400x234
400x234 Scalar

Scalar

0 0

Tags: def

shutterstock

All rights to the published graphic, clip art and text materials on Vectorified.com belong to their respective owners (authors), and the Website Administration is not responsible for their use. All the materials are for personal use only. If you believe that any of the materials violate your rights, and you do not want that your material was displayed on this website, please, contact the Administration and we will immediately remove the copyrighted material.