Vector Rules

Are you looking for free downloadable Vector Rules for your non-commercial projects? You have come to the right place! In this page, you can download any of 40+ Vector Rules. Additionally, you can browse for other related vectors from the tags on topics calculus, pool, product, safety

Most Downloads Size Popular

Views: 1958 Images: 40 Downloads: 0 Likes: 0

Like 1200x1676
1200x1676 Feb

Feb

0 0

Like 960x720
960x720 Adding Vectors, Rules When Two Vectors Are Added, The Sum Is

Adding Vectors, Rules When Two Vectors Are Added, The Sum Is

0 0

Like 824x1300
824x1300 Baby On Beach Tips Children Sun And Water Safety Rules Vector

Baby On Beach Tips Children Sun And Water Safety Rules Vector

0 0

Like 352x139
352x139 Basic Stuff About Vectors

Basic Stuff About Vectors

0 0

Like 1280x1280
1280x1280 C Core Guidelines Stdarray And Stdvector Are Your Friends

C Core Guidelines Stdarray And Stdvector Are Your Friends

0 0

Like 300x300
300x300 Cadillac Logo Vector Art Boozeworthy

Cadillac Logo Vector Art Boozeworthy

0 0

Like 1111x1560
1111x1560 Curl Vector Calculus Rules Handandbeak

Curl Vector Calculus Rules Handandbeak

0 0

Like 861x875
861x875 Derivative Of Vector And Vector Transpose Product

Derivative Of Vector And Vector Transpose Product

0 0

Like 960x720
960x720 Dot Products There Are Two Ways To Multiply Two Vectors

Dot Products There Are Two Ways To Multiply Two Vectors

0 0

Like 789x389
789x389 Edge Vector Class Disambiguation Rules Download Table

Edge Vector Class Disambiguation Rules Download Table

0 0

Like 1152x1947
1152x1947 Figure Vector A And Vector F Soidergi

Figure Vector A And Vector F Soidergi

0 0

Like 437x300
437x300 Flourishes Rules

Flourishes Rules

0 0

Like 782x787
782x787 Introduction To Vectors She Loves Math

Introduction To Vectors She Loves Math

0 0

Like 500x375
500x375 Know The Rules Blank List, Vector Concept Background Stock Image

Know The Rules Blank List, Vector Concept Background Stock Image

0 0

Like 649x451
649x451 Linear Bit Vector Search Download Scientific Diagram

Linear Bit Vector Search Download Scientific Diagram

0 0

Like 880x1060
880x1060 Logo Rules Vector Png Clipart Computer Icons

Logo Rules Vector Png Clipart Computer Icons

0 0

Like 791x1024
791x1024 Name Vectors Iii D Vectors All Of The Vector Rules That We've Used

Name Vectors Iii D Vectors All Of The Vector Rules That We've Used

0 0

Like 622x626
622x626 Pool Safety Rules Signs Vector Free Download

Pool Safety Rules Signs Vector Free Download

0 0

Like 333x200
333x200 Rule Free Vector Art

Rule Free Vector Art

0 0

Like 530x800
530x800 Rules Clipart Vector For Free Download And Use Images

Rules Clipart Vector For Free Download And Use Images

0 0

Like 1000x1000
1000x1000 Rules Of Road Icons Set Grunge Set Of Rules Of Road Vector

Rules Of Road Icons Set Grunge Set Of Rules Of Road Vector

0 0

Like 626x366
626x366 Set Of Rules How To Wash Hands Vector Free Download

Set Of Rules How To Wash Hands Vector Free Download

0 0

Like 1079x495
1079x495 Solved Vector Identities Confirm The Following Identitie

Solved Vector Identities Confirm The Following Identitie

0 0

Like 949x1228
949x1228 Solving D Vector Problems Using Trigonometric Rules Soidergi

Solving D Vector Problems Using Trigonometric Rules Soidergi

0 0

Like 626x636
626x636 Swimming Pool Rules Set Of Icons And Symbol For Pool Vector

Swimming Pool Rules Set Of Icons And Symbol For Pool Vector

0 0

Like 1280x720
1280x720 Tensors For Beginners Vector Transformation Rules

Tensors For Beginners Vector Transformation Rules

0 0

Like 960x243
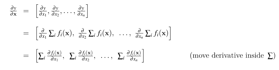
960x243 The Matrix Calculus You Need For Deep Learning

The Matrix Calculus You Need For Deep Learning

0 0

Like 263x253
263x253 The Physics Classroom Tutorial

The Physics Classroom Tutorial

0 0

Like 280x238
280x238 Vector Addition

Vector Addition

0 0

Like 357x195
357x195 Vector Algebra

Vector Algebra

0 0

Like 2049x1147
2049x1147 Vector Cross Product Learning Goal Understand Rules Computing

Vector Cross Product Learning Goal Understand Rules Computing

0 0

Like 463x600
463x600 Vector Diagrams For Linemen Alexander Publications

Vector Diagrams For Linemen Alexander Publications

0 0

Like 600x214
600x214 Vector Product Of Vectors

Vector Product Of Vectors

0 0

Like 1024x1044
1024x1044 Vector Of Unique Black And White Ornate Rules And Borders

Vector Of Unique Black And White Ornate Rules And Borders

0 0

Like 1280x720
1280x720 Vectors

Vectors

0 0

Like 500x338
500x338 Vectors

Vectors

0 0

Like 486x636
486x636 Vectors And Vector Arithmetic

Vectors And Vector Arithmetic

0 0

Like 960x720
960x720 Arrow Length Proportional To Vector Magnitude

Arrow Length Proportional To Vector Magnitude

0 0

Like 1024x1024
1024x1024 Free Vector Decorative Details Decorative Elements, Border

Free Vector Decorative Details Decorative Elements, Border

0 0

Like 338x470
338x470 Pool Rules Sign Vector

Pool Rules Sign Vector

0 0

Tags: rules

shutterstock

All rights to the published graphic, clip art and text materials on Vectorified.com belong to their respective owners (authors), and the Website Administration is not responsible for their use. All the materials are for personal use only. If you believe that any of the materials violate your rights, and you do not want that your material was displayed on this website, please, contact the Administration and we will immediately remove the copyrighted material.