White Cross Vector

Are you looking for free downloadable White Cross Vector for your non-commercial projects? You have come to the right place! In this page, you can download any of 38+ White Cross Vector. Additionally, you can browse for other related vectors from the tags on topics black and white, christian cross, corel, cross

Most Downloads Size Popular

Views: 2309 Images: 38 Downloads: 6 Likes: 0

Like 334x500
334x500 Vector Image Of White Cross

Vector Image Of White Cross

0 4

Like 840x1295
840x1295 Cross Clipart

Cross Clipart

0 1

Like 600x620
600x620 Floral Border Designs Black And White Cross Stitch Pattern Free

Floral Border Designs Black And White Cross Stitch Pattern Free

0 1

Like 500x350
500x350 Cross Vector Graphic Images

Cross Vector Graphic Images

0 0

Like 951x1080
951x1080 Best Free Cross Outline Vector Graphic Drawing Free Vector Art

Best Free Cross Outline Vector Graphic Drawing Free Vector Art

0 0

Like 300x300
300x300 Black And White Screwdriver Wrench Cross Vector Soidergi

Black And White Screwdriver Wrench Cross Vector Soidergi

0 0

Like 300x300
300x300 Black White Vector Illustration Jesus Christ Studiogrfx

Black White Vector Illustration Jesus Christ Studiogrfx

0 0

Like 1300x1300
1300x1300 Christian Cross Clipart Transparent Background

Christian Cross Clipart Transparent Background

0 0

Like 626x626
626x626 Christian Cross Vectors, Photos And Free Download

Christian Cross Vectors, Photos And Free Download

0 0

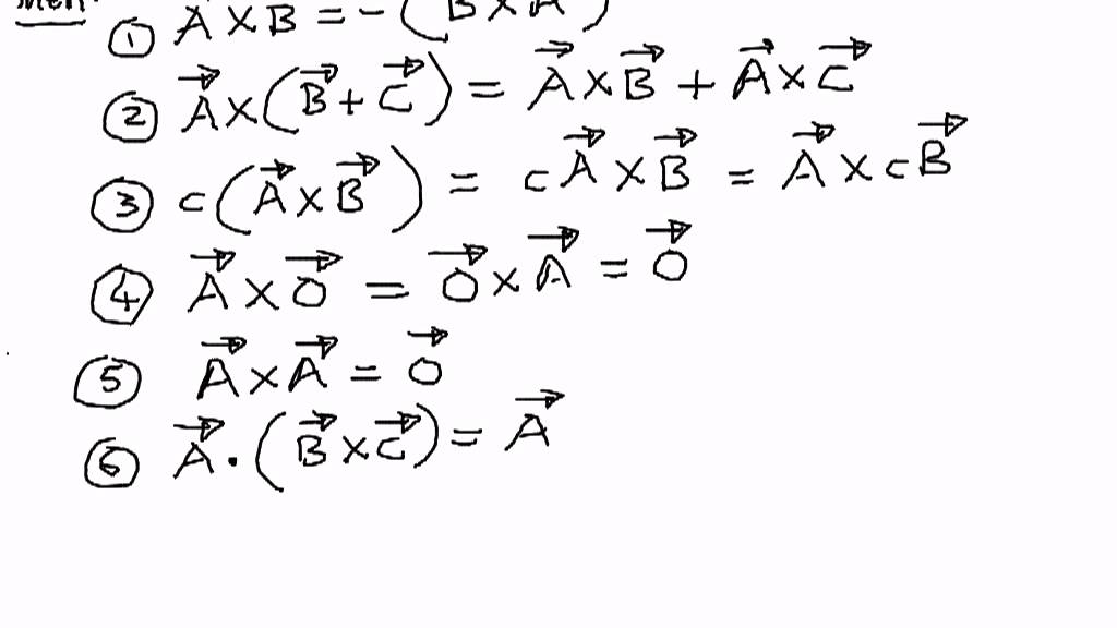
Like 1280x720
1280x720 Cross Product For Calculus Everything You Need To Know

Cross Product For Calculus Everything You Need To Know

0 0

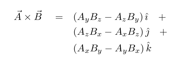
Like 480x360
480x360 Cross Product Of Two Vectors

Cross Product Of Two Vectors

0 0

Like 700x490
700x490 Cross Shapes Collection

Cross Shapes Collection

0 0

Like 310x310
310x310 Cross Vector Feminine

Cross Vector Feminine

0 0

Like 320x320
320x320 Cross Vector Png Images, Free Transparent Image Download

Cross Vector Png Images, Free Transparent Image Download

0 0

Like 556x235
556x235 Cross Or Vector Product Of Two Vectors Definition, Properties

Cross Or Vector Product Of Two Vectors Definition, Properties

0 0

Like 200x200
200x200 Cross Vector Vectors, Corel Files

Cross Vector Vectors, Corel Files

0 0

Like 257x200
257x200 Cute Catholic Icons

Cute Catholic Icons

0 0

Like 1872x1334
1872x1334 Decorative Cross With Banner Vector Cultracing

Decorative Cross With Banner Vector Cultracing

0 0

Like 200x200
200x200 Dog Vector Vectors, Corel Files

Dog Vector Vectors, Corel Files

0 0

Like 700x700
700x700 Download Free Png Baptism Cross Png Black And White Vector

Download Free Png Baptism Cross Png Black And White Vector

0 0

Like 626x626
626x626 Facebook Vectors, Photos And Free Download

Facebook Vectors, Photos And Free Download

0 0

Like 865x1200
865x1200 Floral Ornament In Shape Of A Cross Vector Image Of Backgrounds

Floral Ornament In Shape Of A Cross Vector Image Of Backgrounds

0 0

Like 600x600
600x600 Halftone Stock Photos, Stock Images And Vectors Stockfresh

Halftone Stock Photos, Stock Images And Vectors Stockfresh

0 0

Like 500x500
500x500 Holy Rosary Beads Vector Illustration Prayer Catholic Chaplet

Holy Rosary Beads Vector Illustration Prayer Catholic Chaplet

0 0

Like 600x600
600x600 Irish, Scottish Celtic White Cross On Black Vector Illustration

Irish, Scottish Celtic White Cross On Black Vector Illustration

0 0

Like 1080x1248
1080x1248 Png Ankh Ancient Egypt Egyptian Hieroglyphs Egypt Vect Newwaysys

Png Ankh Ancient Egypt Egyptian Hieroglyphs Egypt Vect Newwaysys

0 0

Like 1000x1000
1000x1000 Shining White Cross And Sunlight Special Lens Flare Light Effect

Shining White Cross And Sunlight Special Lens Flare Light Effect

0 0

Like 626x626
626x626 Tablet Vectors, Photos And Free Download

Tablet Vectors, Photos And Free Download

0 0

Like 330x168
330x168 The Cross Product

The Cross Product

0 0

Like 1024x576
1024x576 Vectors

Vectors

0 0

Like 300x300
300x300 Wedding Clipart Old Christian Church Design Savoyuptown

Wedding Clipart Old Christian Church Design Savoyuptown

0 0

Like 298x297
298x297 White Cross Clip Art

White Cross Clip Art

0 0

Like 626x626
626x626 White Cross Icon

White Cross Icon

0 0

Like 360x360
360x360 White Plus Transparent Background

White Plus Transparent Background

0 0

Like 339x368
339x368 Yes Symbol Free Vector Download

Yes Symbol Free Vector Download

0 0

Like 614x209
614x209 A Brief Review Of The Vector Cross Product

A Brief Review Of The Vector Cross Product

0 0

Like 480x597
480x597 Printable Crosses White Cross Clip Art

Printable Crosses White Cross Clip Art

0 0

Like 300x300
300x300 Religious Clipart

Religious Clipart

0 0

Tags: white, cross

shutterstock

All rights to the published graphic, clip art and text materials on Vectorified.com belong to their respective owners (authors), and the Website Administration is not responsible for their use. All the materials are for personal use only. If you believe that any of the materials violate your rights, and you do not want that your material was displayed on this website, please, contact the Administration and we will immediately remove the copyrighted material.